Badanie zjawisk grawitacji detalu

5/5 - (4 votes)

Można wyróżnić kilka metod badania zjawisk grawitacji, jednak wszystkie biorą swój początek z praw fizyki Newtonowskiej oddziaływania mas w polu grawitacji. Pojęcie „grawitacja przestrzenna” wprowadzone zostało przez C.H. Carey’a w I połowie XIX wieku. Bardzo szybko też rozpowszechniło się w przestrzennych badaniach zjawisk i procesów społeczno gospodarczych w skali różnych jednostek terytorialnych.[1]  Modele grawitacji jak również potencjału znalazły wiele zastosowań  w badaniach rynkowych. Za ich pomocą oblicza się wzajemne oddziaływanie ośrodków rynku oraz ich potencjał rynkowy. Są również wykorzystywane w demografii, komunikacji i łączności.

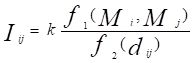
Ogólna postać modelu ciążenia przedstawia się następująco:[2]

i = 1,2,….n

j = 1,2,….n

gdzie:

– siła wzajemnego oddziaływania ośrodka (obszaru) i-tego oraz j – tego,

– masy środków (obszarów) i – tego oraz j – tego,

– odległość między i-tym oraz j – tym ośrodkiem (obszarem),

– symbole zależności funkcyjnej,

k – parametr stały, tzw. Stała proporcjonalności.

Zgodnie z przedstawioną formułą, ciążenie dwóch ośrodków (lub obszarów) jest wprost proporcjonalne do pewnej funkcji ich wielkości oraz odwrotnie proporcjonalne do funkcji odległości między ośrodkami (obszarami). Zmienną objaśnianą (zależną) jest siła wzajemnego oddziaływania dwóch badanych ośrodków, natomiast zmiennymi objaśniającymi są rozmiary ich mas oraz odległości między nimi. Wprowadzono wiele odmian tego równania. Główną różnicą między nimi dotyczą odmiennych interpretacji mas i odległości. Jeśli chodzi o tę pierwszą zmienną to wyróżnić tu można: wielkość sprzedaży powierzchnię placówki liczby zatrudnionych itp.. Drugą zaś zmienną mogą być np.: odległość kolejowa, drogowa, lotnicza, mierzona w km, czy też w czasie podróży.

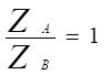
Najbardziej znanym modelem grawitacji jest model grawitacji detalu Reill’ego. Jego teoria brzmi: „ dwa ośrodki A i B przyciągają zakupy mniejszej miejscowości położonej między nimi w pobliżu punktu styczności ich wpływów, mniej więcej w stosunku wprost proporcjonalnym do liczby ludności obu tych ośrodków, a odwrotnie proporcjonalnym do kwadratu odległości każdego z tych ośrodków od miejscowości znajdującej się pomiędzy nimi”[3]. Graficznym obrazem tych zależności jest rys. 3.1.1.

Rysunek 3.1.1 Zjawisko grawitacji w detalu

Źródło: S. Mynarski , Badania rynkowe w przedsiębiorstwie, Wydawnictwo Akademii Ekonomicznej w Krakowie, Kraków 2001, s. 49

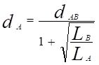
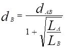
Formułą opisującą prawo Reilly’ego jest następujący wzór:

gdzie:

ZA – zakupy w mieście A,

ZB – zakupy w mieście B,

LA – liczba ludności miasta A,

LB – liczba ludności miasta B,

dA – odległość miasta A do miejscowości pośredniej C,

dB – odległość miasta B do miejscowości pośredniej C.

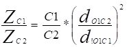
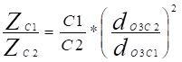
Aby obliczyć granicę sfery obojętnej pomiędzy dwoma ośrodkami,  w której mieszkańcy będą równie często dokonywać zakupów zarówno w jednym jak i w drugim ośrodku należy odpowiednio przekształcić wzór Reille’go. Występuje wtedy następująca zależność.

Aby obliczyć zasięg rynków A i B należy skorzystać z następujących wzorów:

W ten sposób uzyskujemy terytorialny zasięg działania poszczególnych rynków lokalnych. Dla placówek wielkopowierzchniowych bierzemy pod uwagę parametry tych sklepów nie zaś liczbę mieszkańców. Wśród tych parametrów możemy wyróżnić takie jak: wielkość lokali sklepowych, liczbę sprzedawców, wielkość zaopatrzenia, obrotów itp..  Przy obliczaniu odległości między tymi ośrodkami można wykorzystać nie tylko wiedzę stricte dotyczącą ilości kilometrów, lecz także czas podróży, czy też jej koszt. Czasem łączy się ze sobą kilka tych miar, np. czas podróży i jej koszt.

Kolejną miarą badania przyciągania placówek handlu detalicznego jest metoda P. D. Converse’a w latach czterdziestych ubiegłego stulecia w Illinois. Dokonał on pewnych modyfikacji w modelu Reilly’ego. Nowy model przedstawił za pomocą wzoru, który zaprezentowany został poniżej.

gdzie:

Ba – proporcja zakupów dokonywanych przez ludność miasta b w głównym ośrodku handlowym, tj. mieście a (rozmiary sprzedaży detalicznej „wychodzącej” poza miasto b)

Bb – proporcja zakupów dokonywanych przez ludność miasta b w tym mieście (rozmiary sprzedaży detalicznej „pozostającej” w mieście b)

Pa – liczba ludności głównego ośrodka handlowego – miasta a

Pb – liczba ludności miasta b

d –  odległość między ośrodkami a i b

x – czynnik bezwładności (inercji)

Sformułował on nowe brzmienie prawa grawitacji, które brzmi „główny ośrodek handlowy i miasto znajdujące się na jego obszarze rynkowym dzielą zakupy tego miasta wprost proporcjonalnie do liczby ludności obu miast i odwrotnie do kwadratu odległości między nimi o określonym czynniku bezwładności”[4]. Converse na podstawie badań empirycznych  wyliczył wartość czynnika bezwładności i ustalił, że przyjmuje on wartość 4, jednak przy dużej różnicy między miastami zmniejsza się on do 1,5.[5]

Oba przedstawione model charakteryzowały się tym, iż opisują one celowość lokalizacji zakupów nie na podstawie zawartej koncepcji teoretyczno – metodologicznej lecz na podstawie obserwacji rzeczywistych struktur oraz zjawisk przestrzenno – ekonomicznych. Zarzucano tym modelom brak elementów , które odzwierciedlały by indywidualny charakter wyboru lokalizacji miejsca zakupów.

Kolejnym modelem zaliczanym do tej grupy jednak uzupełniony właśnie o te parametry subiektywne to grawitacyjny model zakupów M. Cadwalladera. Wyróżnił on trzy determinanty lokalizacji miejsca zakupów, są to według niego:

Ai – atrakcyjność ośrodka handlowego (sklepu),

Di – odległości fizycznej lub komunikacyjnej, jaka dzieli konsumenta oraz miejsce lokalizacji ośrodka handlowego (sklepu)

Ji – „informacyjności” (właściwości informacyjnych) ośrodka handlowego (sklepu). Jest to pochodna natężenia celowych akcji reklamowo – promocyjnych danego ośrodka oraz przekazu informacji o nim kanałami nieformalnymi. Jest to więc charakterystyka, która różni się dla poszczególnych grup konsumentów.

Model ten został przedstawiony za pomocą poniżej prezentowanego wzoru, w którym Pi – oznacza proporcję konsumentów odwiedzających sklep i z miejsc swego pobytu.

Wielkości służące do określenia oddziaływań przestrzennych są wynikiem oszacowań dokonywanych przez samych konsumentów, są to z reguły wielkości syntetyczne, wypadkowe kilku mierników szczegółowych. Konsumenci sami oceniają te determinanty odpowiednio według własnych kryteriów oceń, odczuć i reakcji. Przy realizacji tego typu badań niezbędne są badania ankietowe.

Posiadając dane dotyczące odległości między poszczególnymi placówkami handlowymi oraz liczbę mieszkańców zamieszkujących dzielnice, w których te placówki się znajdują możemy za pomocą metody Reilly’ego obliczyć proporcję zakupów dla każdej pary ośrodków wielkopowierzchniowych. Poniżej w tabeli 3.1.1 przedstawiono odległości miedzy każdą parą ośrodków handlowych oraz odległości między ośrodkami komunikacyjnymi dzielnic a placówkami handlowymi w tabeli 3.1.2. Dane te wyznaczono na podstawie mapy (załącznik nr 2).

Tabela 3.1.1 Odległości między ośrodkami

Centrum handlowe C1

Géant

C2

Krakchemia

C3

Real

C1

Géant

0,96 3,2
C2

Krakchemia

0,96 2,48
C3

Real

3,2 2,48

Źródło: opracowanie własne

Tabela 3.1.2 Odległości między ośrodkami komunikacyjnymi a placówkami handlowymi

 

 

Odległości w km
O1 O2 O3
C1 0,54 2,62 3,08
C2 0,38 1,69 3,23
C3 3,08 2,77 1,73

Źródło: opracowanie własne

Dla potrzeb modelu Reillego wzięto pod uwagę nie liczbę ludności, lecz powierzchnię ośrodków handlowych.  Postąpiono tak, ponieważ brano pod uwagę nie całe konglomeracje miejskie, lecz ośrodki handlowe.

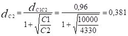
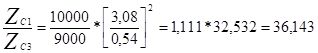
Obliczamy jaki procent ludzi z III dzielnicy robi zakupy w Géant’cie, a jaki w Krakchemii.

Z obliczeń wynika, że ludzie korzystający z węzła komunikacyjnego na Rondzie Polsadu częściej robią zakupy w centrum handlowym Géant. Na każde 100 zakupów dokonanych w Krakchemii przypada ok. 114 zakupów w Géant’cie.

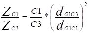
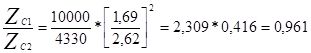
Obliczamy jaki procent ludzi z II dzielnicy robi zakupy w Géant’cie, a jaki w Krakchemii.

Z obliczeń wynika, że ludzie korzystający z węzła komunikacyjnego przy Rondzie Mogilskim chętniej korzystają z centrum handlowego Krakchemia. Na każde 100 zakupów dokonanych w Krakchemii przypada ok. 96 zakupów w Géant’cie.

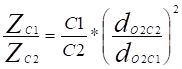
Obliczamy jaki procent ludzi z XIV dzielnicy robi zakupy w Géant’cie, a jaki w Krakchemii.

Wyliczono, iż na 100 zakupów dokonywanych w Krakchemii, przypada ok. 253 zakupy w  Géat’cie, wśród konsumentów korzystających z węzła komunikacyjnego na Rondzie Czyżyńskim. Ludzie zdecydowanie chętniej korzystają wtedy z placówki znajdującej się na Prądniku Czerwonym.

 

Poniżej wyznaczona jest odległość graniczna między ośrodkami, na której klientom jest obojętne, z której placówki skorzystają.

Linia graniczna przebiega w odległości 0,579 km od centrum handlowego Géant i 0,381 km od Krakchemii.

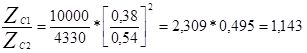
Obliczamy jaki procent ludzi z dzielnicy III robi zakupy w Géant’cie, a jaki w Real’u.

Z obliczeń wynika, iż ludzie korzystający z węzła komunikacyjnego przy Rondzie Polsadu zdecydowanie chętniej korzystają z centrum handlowego Géant. Na każde 100 zakupów dokonanych w Real’u przypada ok. 3614 zakupów w Géant’cie. Ten wynik jest w dużej mierze uzależniony jest od dużych różnic odległości.

Obliczamy jaki procent ludzi mieszkających w dzielnicy Grzegórzki robi zakupy w Géant’cie, a jaki w Real’u.

Wyliczono, iż ludzie korzystający z węzła komunikacyjnego przy Rondzie Mogilskim chętniej korzystają z centrum handlowego Géant. Na każde 100 zakupów dokonanych w Real’u przypada ok. 124  zakupy w Géant’cie

Obliczamy jaki procent ludzi XIV dzielnicy robi zakupy w Géant’cie, a jaki w Real’u.

Na 100 zakupów w Real’u przypada ok. 35 zakupów w Géant’cie, gdy klienci korzystali z węzła komunikacyjnego znajdującego się przy Rondzie Czyżyńskim. Tak duża różnica związana jest przede wszystkim z odległościami jakie muszą pokonać potencjalni klienci do placówki wielkopowierzchniowej.

Poniżej wyznaczona jest odległość graniczna między ośrodkami, na której klientom jest obojętne, z której placówki skorzystają.

Linia graniczna przebiega w odległości 1,558 km od centrum handlowego Real i 1,642 km od Géant.

Obliczamy jaki procent ludzi III dzielnicy robi zakupy w Real’u, a jaki w Krakchemii.

Z obliczeń wynika, iż ludzie korzystający z węzła komunikacyjnego przy Rondzie Polsadu zdecydowanie chętniej korzystają z centrum handlowego Krakchemia. Na każde 100 zakupów dokonanych w Real’u przypada ok.3155 zakupów w Géant’cie. Ten wynik jest w dużej mierze uzależniony jest od dużych różnic odległości.

Obliczamy jaki procent ludzi z dzielnicy II robi zakupy w Real’u, a jaki w Krakchemii.

Na 100 zakupów realizowanych w Real’u przypada 129 w placówce wielkopowierzchniowej Krakchemia. Na wynik ten przeciwne wpływy mają odległości między węzłem komunikacyjnym na Rondzie Mogilskim, a placówkami wielkopowierzchniowymi (na korzyść KrakChemii) oraz wielkość placówki wielkopowierzchniowej (na korzyść Real’a).

Obliczamy jaki procent ludzi z XIV dzielnicy robi zakupy w Real’u, a jaki w Krakchemii.

Wyliczono, iż ludzie korzystający z węzła komunikacyjnego przy Rondzie Czyżyńskim zdecydowanie chętniej korzystają z centrum handlowego Real. Na każde 100 zakupów dokonanych w Real’u przypada ok. 44  zakupów w Krakchemii.

Poniżej wyznaczona jest odległość graniczna między ośrodkami, na której klientom jest obojętne, z której placówki skorzystają.

Linia graniczna przebiega w odległości 1,464 km od centrum handlowego Real i 1,016 km od Krakchemii.

Zdecydowanie najlepsze zasięgi rynku ma sklep wielkopowierzchniowy Géant. Dwukrotnie linia graniczna przebiega w większej odległości od niego, niż pozostałych placówek wielkopowierzchniowych. Granica linii zasięgu w porównaniu z Real’em znajduje się w odległości  1,642 km, zaś z Krakchemią 0,579 km. Na drugim miejscu znajduje się Real, dla którego linia graniczna zasięgu, w porównaniu z Krakchemią, znajduje się  w odległości 1,464 km. Przyczyną takiego stanu rzeczy są różnice w powierzchni sprzedażowej tych placówek, im większa tym większy zasięg przyciągania.


[1] K.P. Wojdacki, „Przestrzenno ekonomiczna identyfikacja miejskich ośrodków rynku makroregionalnego (na przykładzie Polski południowo-wschodniej), praca doktorska pod kierunkiem doc. Dr hab. A. Szromnika, Kraków 1988, s. 108

[2] Ibidem, s. 109

[3] S. Mynarski , Badania rynkowe w przedsiębiorstwie, Wydawnictwo Akademii Ekonomicznej w Krakowie, Kraków 2001, s. 49

[4] A. Szromnik, Handel- konsument – przestrzeń, Wydawnictwo Spółdzielcze Warszawa 1990, s. 101

[5] Badania przestrzenne rynku i konsumpcji. Przewodnik metodyczny, praca zbiorowa pod redakcją S. Mynarskiego, Wydawnictwo Naukowe PWN, Warszawa 1992, s. 216

Dodaj komentarz